|
1¡¢ÒÀ¾Ý
AQ2055-2016¡¶½ðÊô·Ç½ðÊô¿óɽÔÚÓÃ¿ÕÆøÑ¹Ëõ»úÇ徲ĥÁ·¹æ·¶ µÚ1²¿·Ö£ºÀο¿Ê½¿ÕÆøÑ¹Ëõ»ú¡·
2 Ö°Ôð
2.1 ¼ì²âÔ±ÑϿᰴ±ê×¼»®¶¨¶ÔÔÚÓÃ×°±¸¾ÙÐмì²â£¬£¬£¬£¬£¬£¬£¬£¬ÖÒʵ¼Í¼¼ì²âÊý¾Ý£¬£¬£¬£¬£¬£¬£¬£¬È·±£Ôʼ¼Í¼׼ȷ£¬£¬£¬£¬£¬£¬£¬£¬È»ºóƾ֤¼ì²â¼Í¼³ö¾ßÄ¥Á·±¨¸æ¡£¡£¡£¡£¡£¡£¡£¡£
2.2 ÖÊÁ¿¼àÊÓÔ±¶Ô¼ì²âÊÂÇé¾ÙÐмàÊÓ£¬£¬£¬£¬£¬£¬£¬£¬°ü¹ÜЧ¹û׼ȷ¡£¡£¡£¡£¡£¡£¡£¡£
2.3 ¼ì²âÊÒÖ÷ÈζԱ¨¸æºÍ¼ì²â¼Í¼¾ÙÐк˲飬£¬£¬£¬£¬£¬£¬£¬È·ÈϺóÇ©×Ö¡£¡£¡£¡£¡£¡£¡£¡£
3 ÒÇÆ÷×°±¸
¿Õѹ»ú×ۺϲÎÊý²âÊÔÒÇ¡¢Æô³ÝÉÁµã²â¶¨Æ÷¡¢Êý×ÖתËÙ±í¡¢µç×ÓÃë±í¡¢Éù¼¶¼Æ¡¢Õñ¶¯ÕÉÁ¿ÒÇ¡£¡£¡£¡£¡£¡£¡£¡£
4 ¼ì²âÏîÄ¿
ƾ֤±ê×¼»®¶¨¾ÙÐмì²â£¬£¬£¬£¬£¬£¬£¬£¬Ïêϸ×ñÕÕÌõ¿î¼ûÏÂ±í£º
|
ÐòºÅ
|
Ä¥Á·ÏîÄ¿
|
ÊÖÒÕÒªÇó
|
ÏîÄ¿ÀàÐÍ
|
¼ìÑéÒªÁì
|
|
1
|
°²×°ÇéÐÎ
|
5.1.1
|
C
|
6.1
|
|
2
|
Çå¾²·À»¤
|
5.1.2
|
C
|
|
3
|
Ïû·À²½·¥
|
5.1.3
|
C
|
|
4
|
Öµ°à»ú·¿ÔëÉù
|
5.1.4
|
C
|
|
5
|
Èó»¬ÓÍÉÁµã
|
5.2.1
|
B
|
6.2.1
|
|
6
|
Èó»¬ÏµÍ³ÃÜ·â
|
5.2.2
|
C
|
6.2.2
|
|
7
|
Èó»¬ÓÍѹÁ¦±í
|
5.2.3
|
B
|
|
8
|
Èó»¬ÓÍǷѹ±£»£»£»£»£»£»¤×°ÖÃ
|
5.2.4
|
A
|
6.2.3
|
|
9
|
Èó»¬Óͳ¬Î±£»£»£»£»£»£»¤×°ÖÃ
|
5.2.5
|
A
|
6.2.4
|
|
10
|
Àäȴϵͳ
|
5.3.1
|
A
|
6.3.1
|
|
11
|
ÀäÈ´Æ÷
|
5.3.2
|
C
|
6.3.2
|
|
12
|
´¢Æø¹ÞÇå¾²×°ÖÃ
|
5.4.1
|
A
|
6.4.1
|
|
13
|
×èÖ¹·§¼°´¢Æø¹ÞѹÁ¦ÊÍ·Å×°ÖÃ
|
5.4.2
|
C
|
|
14
|
´¢Æø¹ÞѹÁ¦Ö¸Ê¾ÒDZí
|
5.4.3
|
B
|
|
15
|
Ö¹»Ø·§
|
5.4.4
|
B
|
|
16
|
·Å¿Õ¹Ü
|
5.4.5
|
C
|
|
17
|
´¢Æø¹ÞζÈ
|
5.4.6
|
A
|
6.4.2
|
|
18
|
ϵͳѹÁ¦Ö¸Ê¾ÒDZí
|
5.5.1
|
B
|
6.5.1
|
|
19
|
ÅÅÆøÑ¹Á¦
|
5.5.2.1
|
B
|
6.5.2
|
|
20
|
ÅÅÆøÑ¹Á¦¿ØÖÆ
|
5.5.2.2
|
B
|
|
21
|
³ö¿ÚÇå¾²·§
|
5.5.2.3
|
B
|
|
22
|
Ä©¼¶³ö¿ÚµÄÇå¾²·§
|
5.5.2.4
|
B
|
6.5.2
|
|
23
|
ÅÅÆø³¬Î±£»£»£»£»£»£»¤×°ÖÃ
|
5.5.3
|
A
|
6.5.3
|
|
24
|
ÇúÖáÏäÓÍÎÂ
|
5.6
|
A
|
6.6
|
|
25
|
Í£³µ¸´Î»
|
5.7
|
A
|
6.7
|
|
26
|
ÔËת״̬
|
5.8
|
C
|
6.8
|
|
27
|
Õñ¶¯
|
5.9
|
B
|
6.9
|
|
28
|
תËÙ
|
5.10
|
C
|
6.10
|
|
29
|
ÈÝ»ýÁ÷Á¿
|
5.11
|
C
|
6.11
|
|
30
|
ÊäÈë±È¹¦ÂÊ
|
5.12
|
C
|
6.12
|
|
31
|
ÊäÈëµçÁ÷
|
5.13
|
A
|
6.13
|
5 ¼ì²âÒªÁì
5.1»ú·¿»òÐgÊÒ
½ÓÄÉÄ¿²â·½·¨£¬£¬£¬£¬£¬£¬£¬£¬¼ì²é¿ÕÆøÑ¹Ëõ»úµÄ×°ÖÃλÖᢷÀ»¤×°Öá¢Ïû·ÀÆ÷²ÄµÈÊÇ·ñÇкϱê×¼ÒªÇ󡣡£¡£¡£¡£¡£¡£¡£½ÓÄÉÇкÏGB/T 3785.1»®¶¨µÄ2¼¶Éù¼¶¼Æ£¬£¬£¬£¬£¬£¬£¬£¬ÕÉÁ¿Öµ°à»ú·¿ÄÚÖ°Ô±ÊÂÇéλÖô¦ÔëÉù£¬£¬£¬£¬£¬£¬£¬£¬È¡3´ÎÕÉÁ¿Ð§¹ûµÄËãÊõƽ¾ùÖµ×÷ΪĥÁ·Ð§¹û¡£¡£¡£¡£¡£¡£¡£¡£
5.2 Èó»¬ÏµÍ³
1¡¢¼ì²éÊܼ쵥λÌṩµÄÈó»¬ÓÍÉÁµãµÄÓÐÓÃ֤ʵ»òÖ±½Ó¾ÙÐÐÄ¥Á·,Ó¦Çкϱê×¼5.2.1µÄÒªÇ󡣡£¡£¡£¡£¡£¡£¡£
2¡¢ ½ÓÄÉÄ¿²â·½·¨Ä¥Á·5 .2.2- 5 .2. 3»®¶¨µÄÄ¥Á·ÄÚÈÝ¡£¡£¡£¡£¡£¡£¡£¡£
3¡¢ÔÚ±»Ä¥Á·×°±¸ÉÏÈËÎªÖÆÔìÄ£Äâ¹ÊÕϵÄÌõ¼þÏ£¬£¬£¬£¬£¬£¬£¬£¬Ä¥Á·Èó»¬ÓÍ
ѹÁ¦µÍÓÚ»®¶¨ÖµÊ±Í£³µ±£»£»£»£»£»£»¤×°ÖûòÐÅ ºÅÏÔʾ£¨±¨¾¯£©×°ÖõÄѸËÙÐÔ£¬£¬£¬£¬£¬£¬£¬£¬Ó¦Ä¥Á·3´Î£¬£¬£¬£¬£¬£¬£¬£¬Ã¿´ÎÐж¯¾ùӦ׼ȷ£¬£¬£¬£¬£¬£¬£¬£¬Ó¦Çкϱê×¼5 .2.4µÄÒªÇ󡣡£¡£¡£¡£¡£¡£¡£
4¡¢ÔÚ±»Ä¥Á·×°±¸ÉÏÈËÎªÖÆÔìÄ£Äâ¹ÊÕϵÄÌõ¼þÏ£¬£¬£¬£¬£¬£¬£¬£¬Ä¥Á·Èó»¬Óͳ¬ÎÂÍ£³µ±£»£»£»£»£»£»¤×°ÖÃÊÇ·ñÓÐÓ㬣¬£¬£¬£¬£¬£¬£¬Ó¦Ä¥Á· 3´Î£¬£¬£¬£¬£¬£¬£¬£¬Ã¿´ÎÐж¯¾ùӦ׼ȷ£¬£¬£¬£¬£¬£¬£¬£¬Ó¦ÇкÏ5 .2. 5µÄÒªÇ󡣡£¡£¡£¡£¡£¡£¡£
5.3Àäȴϵͳ
1¡¢¶ÔË®Àäʽ¿ÕÆøÑ¹Ëõ»ú£¬£¬£¬£¬£¬£¬£¬£¬ÓÃ׼ȷ¶È²»ÁÓÓÚÊ¿1 4µÄµãμƻò½Ó´¥Ê½ÕÉÁ¿ÒÇÆ÷ÕÉÁ¿ÀäÈ´Ë®³öˮΠ¶È¡£¡£¡£¡£¡£¡£¡£¡£¹Ø±ÕÀäÈ´Ë®½øË®»òÔÚÈËÎªÖÆÔìÄ£Äâ¹ÊÕϵÄÌõ¼þÏ£¬£¬£¬£¬£¬£¬£¬£¬¿ÕÆøÑ¹Ëõ»úÓ¦ÄÜʵʱͣ³µ£¬£¬£¬£¬£¬£¬£¬£¬Ó¦Ä¥Á·3´Î£¬£¬£¬£¬£¬£¬£¬£¬Ã¿´Î¶¯ ×÷¾ùӦ׼ȷ¡£¡£¡£¡£¡£¡£¡£¡£¶Ô·çÀäʽ¿ÕÆøÑ¹Ëõ»ú£¬£¬£¬£¬£¬£¬£¬£¬Ä¿²â¼ì²é·çÀäϵͳÊÂÇéÇéÐΡ£¡£¡£¡£¡£¡£¡£¡£Ó¦ÇкÏ5 .3.1µÄÒªÇ󡣡£¡£¡£¡£¡£¡£¡£
2¡¢Ä¿²â¼ì²é»îÈûʽ¿ÕÆøÑ¹Ëõ»úµÄÄ©¼¶ÅÅÆø¿ÚÊÇ·ñ×°ÖÃÓÐÀäÈ´Æ÷£¬£¬£¬£¬£¬£¬£¬£¬ÀäÈ´Æ÷³ö¿ÚÊÇ·ñ×°ÖÃÇå¾²·§£¬£¬£¬£¬£¬£¬£¬£¬Ó¦ Çкϱê×¼5 . 3. 2µÄÒªÇ󡣡£¡£¡£¡£¡£¡£¡£
5.4 ´¢Æø¹Þ
1¡¢½ÓÄÉÄ¿²â·½·¨Ä¥Á·±ê×¼5.4.1¡¢5.4.3¡¢5.4.4¡¢5.4.5»®¶¨µÄÄ¥Á·ÄÚÈÝ£¬£¬£¬£¬£¬£¬£¬£¬½ÓÄÉͨÀý³¤¶ÈÒÇÆ÷ÕÉÁ¿±ê×¼5.4.2 »®¶¨µÄѹÁ¦ÊÍ·Å×°ÖúÍÅÅÆø¹ÜµÄ¹Ü¾¶£¬£¬£¬£¬£¬£¬£¬£¬ÊÍѹװÖõÄÊÍ·ÅѹÁ¦¿ÉÒÀ¾ÝÃúÅÆ»òÆäËûÏà¹Ø×ÊÁÏÈ·¶¨¡£¡£¡£¡£¡£¡£¡£¡£
2¡¢ÓÃ׼ȷ¶È²»ÁÓÓÚÊ¿14µÄζÈÕÉÁ¿ÒDZíÕÉÁ¿´¢Æø¹ÞÄÚζȣ¬£¬£¬£¬£¬£¬£¬£¬µ±ÎÞ·¨Ö±½ÓÕÉÁ¿´¢Æø¹ÞÄÚζÈʱ£¬£¬£¬£¬£¬£¬£¬£¬¿É ÕÉÁ¿´¢Æø¹Þ½ðÊôÍâ±íζÈ×÷Ϊ´¢Æø¹ÞÄÚζȡ£¡£¡£¡£¡£¡£¡£¡£ÔÚ±»Ä¥Á·×°±¸ÉÏÈËÎªÖÆÔìÄ£Äâ¹ÊÕϵÄÌõ¼þÏ£¬£¬£¬£¬£¬£¬£¬£¬Ä¥Á·³¬Î ±£»£»£»£»£»£»¤×°Öúͱ¨¾¯×°ÖÃÊÇ·ñÓÐÓÃ,ӦĥÁ·3´Î£¬£¬£¬£¬£¬£¬£¬£¬Ã¿´ÎÐж¯¾ùӦ׼ȷ£¬£¬£¬£¬£¬£¬£¬£¬Ó¦Çкϱê×¼5.4.6µÄÒªÇ󡣡£¡£¡£¡£¡£¡£¡£
5.5 ϵͳ±£»£»£»£»£»£»¤ÒªÇó
1¡¢½ÓÄÉÄ¿²â·½·¨Ä¥Á·±ê×¼5.5.1»®¶¨µÄÄ¥Á·ÄÚÈÝ¡£¡£¡£¡£¡£¡£¡£¡£
2¡¢µ÷½â¿ÕÆøÑ¹Ëõ»úµÄÊä³öÅÅÆøÑ¹Á¦»òÈÝ»ýÁ÷Á¿£¬£¬£¬£¬£¬£¬£¬£¬ÓÃ׼ȷ¶È²»ÁÓÓÚÊ¿1.6%µÄѹÁ¦ÕÉÁ¿ÒÇÆ÷£¬£¬£¬£¬£¬£¬£¬£¬Ä¥Á·Êä³öÅÅÆøÑ¹Á¦£¬£¬£¬£¬£¬£¬£¬£¬Ó¦ÇкÏ5. 5.2.1µÄÒªÇ󣬣¬£¬£¬£¬£¬£¬£¬5.5.2»®¶¨µÄÆäËûÒªÇó½ÓÄÉÄ¿²â·½·¨¾ÙÐÐÄ¥Á·¡£¡£¡£¡£¡£¡£¡£¡£
3¡¢ÔÚ±»Ä¥Á·×°±¸ÉÏÈËÎªÖÆÔìÄ£Äâ¹ÊÕϵÄÌõ¼þÏ£¬£¬£¬£¬£¬£¬£¬£¬Ä¥Á·ÅÅÆø³¬Î±£»£»£»£»£»£»¤ºÍ±¨¾¯×°ÖõÄѸËÙÐÔ£¬£¬£¬£¬£¬£¬£¬£¬Ó¦Ä¥Á· 3´Î£¬£¬£¬£¬£¬£¬£¬£¬Ã¿´ÎÐж¯¾ùӦ׼ȷ£¬£¬£¬£¬£¬£¬£¬£¬Ó¦Çкϱê×¼5.5.3µÄÒªÇ󡣡£¡£¡£¡£¡£¡£¡£¹ØÓÚÖ»ÄÜÓÉÖÆÔ쵥λÉ趨±£»£»£»£»£»£»¤ºÍ±¨¾¯²ÎÊýµÄ¿ÕÆøÑ¹Ëõ»ú£¬£¬£¬£¬£¬£¬£¬£¬Ó¦Ä¥Á·ÆäÉ趨µÄ±£»£»£»£»£»£»¤ºÍ±¨¾¯²ÎÊý£¬£¬£¬£¬£¬£¬£¬£¬¿ÉÄÜʱҲӦ°´ÉÏÊöÒªÇó¾ÙÐÐÑéÖ¤ÊÔÑé¡£¡£¡£¡£¡£¡£¡£¡£
5.6 ÇúÖáÏäÓÍÎÂ
ÓÃ׼ȷ¶È²»ÁÓÓÚÊ¿ 1¡æµÄµãμƻòÆäËûÓÐÓÃζÈÕÉÁ¿ÒÇÆ÷ÕÉÁ¿ÇúÖáÏäÄÚµÄÈó»¬ÓÍζȣ¬£¬£¬£¬£¬£¬£¬£¬Ó¦Çкϱê×¼5.6µÄÒªÇ󡣡£¡£¡£¡£¡£¡£¡£µ±ÄÑÒÔÕÉÁ¿ÇúÖáÏäÄÚµÄÈó»¬ÓÍζÈʱ£¬£¬£¬£¬£¬£¬£¬£¬Ò²¿Éͨ¹ýÕÉÁ¿ÇúÖáÏäµÄÍâòζȣ¬£¬£¬£¬£¬£¬£¬£¬È¡×î´óÖµ×÷ΪÇúÖáÏä ÓÍÎÂÄ¥Á·Ð§¹û¡£¡£¡£¡£¡£¡£¡£¡£
5.7Í£³µ¸´Î»
ÔÚ¶Ô±ê×¼5.5ËùÒªÇóµÄ¸÷±£»£»£»£»£»£»¤×°ÖõĹ¦Ð§ÓÐÓÃÐÔ¾ÙÐÐÄ¥Á·Ê±£¬£¬£¬£¬£¬£¬£¬£¬Í¬Ê±Ä¥Á·Í£³µ¸´Î»¹¦Ð§£¬£¬£¬£¬£¬£¬£¬£¬Ó¦Çкϱê×¼5.7µÄÒªÇ󡣡£¡£¡£¡£¡£¡£¡£
5.8ÔËת״̬
ÔÚËùÓÐÏîĿĥÁ·Ê±´ú£¬£¬£¬£¬£¬£¬£¬£¬ÊÓ²ì¿ÕÆøÑ¹Ëõ»úÔËÐÐʱ,¸÷Ô˶¯²¿¼þ¼°ÆäËû²¿Î»ÊÇ·ñ±£´æÒì³£ÏìÉùºÍÕñ¶¯, Ó¦Çкϱê×¼5 .8µÄÒªÇ󡣡£¡£¡£¡£¡£¡£¡£
5.9 Õñ¶¯
½ÓÄɾ«¶È²»µÍÓÚ5 %£¨Êý×ÖÏÔʾÒDZíµÄ¾«¶ÈÓ¦²»µÍÓÚ5 %Ê¿ 5¸ö×Ö£©µÄÕÉÁ¿ÒÇÆ÷£¬£¬£¬£¬£¬£¬£¬£¬Æ¾Ö¤GB/T 7777 µÄ»®¶¨¾ÙÐÐÄ¥Á·ºÍÆÀ¼Û,Ó¦ÇкÏ5 .9µÄÒªÇ󡣡£¡£¡£¡£¡£¡£¡£
5.10תËÙ
¿ÕÆøÑ¹Ëõ»úµÄתËÙÓ¦ÓÃ׼ȷ¶È²»´óÓÚÊ¿ 0.2%»òÊ¿2 r/minµÄתËÙÕÉÁ¿ÒÇÆ÷¾ÙÐÐÄ¥Á·£¬£¬£¬£¬£¬£¬£¬£¬ÔÚÄ¥Á·Ê±, Ó¦ÒÔԼĪÏàµÈµÄʱ¼ä¾àÀë¶Á³ö²»ÉÙÓÚ3´ÎµÄתËÙÖµ£¬£¬£¬£¬£¬£¬£¬£¬ÅÌËãÆäƽ¾ùתËÙ×÷ΪĥÁ·Ð§¹û£¬£¬£¬£¬£¬£¬£¬£¬Ó¦Çкϱê×¼5.10µÄÒªÇ󡣡£¡£¡£¡£¡£¡£¡£
5.11ÈÝ»ýÁ÷Á¿
1 ¡¢Ä¥Á·ÒªÁì
±ê׼״̬ϵÄÈÝ»ýÁ÷Á¿¿É°´ÏÂÁÐÒªÁìÖ®Ò»¾ÙÐÐÄ¥Á·£º
¡ª¡ª°´GB/T 1 5 487Ä¥Á·¿ÕÆøÑ¹Ëõ»úµÄÈÝ»ýÁ÷Á¿£»£»£»£»£»£»
¡ª¡ª½ÓÄÉ´¢Æø¹Þ³äÌî·¨£¨·ç°ü·¨£©ÕÉÁ¿¿ÕÆøÑ¹Ëõ»úµÄÈÝ»ýÁ÷Á¿£»£»£»£»£»£»
¡ª¡ª½ÓÄÉÁ÷Á¿·¨ÕÉÁ¿¿ÕÆøÑ¹Ëõ»úµÄÈÝ»ýÁ÷Á¿¡£¡£¡£¡£¡£¡£¡£¡£
2¡¢´¢Æø¹Þ³äÌî·¨£¨·ç°ü·¨£©ÕÉÁ¿¿ÕÆøÑ¹Ëõ»úµÄÈÝ»ýÁ÷Á¿
2.1 ÓóäË®·¨»òÖ±½ÓÕÉÁ¿µÄÒªÁìÕÉÁ¿´¢Æø¹Þ£¨·ç°ü£©¼°ÏàÁ¬¹Ü·µÄÈÝ»ýV¡£¡£¡£¡£¡£¡£¡£¡£
2. 2 ÇжÏËùÓÐÓÃÆø×°±¸,ÔÚ´¢Æø¹ÞÉÏ×°ÖÃѹÁ¦ÕÉÁ¿ÒÇÆ÷¼°Á½Ö§µãμÆÕÉÁ¿´¢Æø¹ÞÄÚÆøÌåѹÁ¦ºÍ ζȣ¬£¬£¬£¬£¬£¬£¬£¬²âÊÔǰҪ¼ì²éÇå¾²·§µÄÊÂÇéÇéÐΣ¬£¬£¬£¬£¬£¬£¬£¬²¢¼ì²é¹ÜµÀºÍÈÝÆ÷ÊÇ·ñÂ©Æø¡£¡£¡£¡£¡£¡£¡£¡£
2.3 ´¢Æø¹Þ³äÌî·¨£¨·ç°ü·¨£©ÕÉÁ¿¿ÕÆøÑ¹Ëõ»úµÄÈÝ»ýÁ÷Á¿ÕÉÁ¿ÏµÍ³µÄ°²ÅÅʾÒâͼÈçͼ1Ëùʾ# ÕÉÁ¿Ê±£¬£¬£¬£¬£¬£¬£¬£¬°Ñ´¢Æø¹ÞÄÚµÄÊ£ÓàÆøÌå¼°ÓÍ¡¢Ë®·Å¾»£¬£¬£¬£¬£¬£¬£¬£¬È»ºó¹Ø±ÕÕ¢ÃÅ3,¿ª¶¯¿ÕÆøÑ¹Ëõ»ú#µ±´¢Æø¹ÞÖÐ¿ÕÆøÑ¹ Á¦ÉýÖÁ0.2 MPa?0.3 MPaʱ£¬£¬£¬£¬£¬£¬£¬£¬×îÏÈÓÃÃë±í¼ÆÊ±£¬£¬£¬£¬£¬£¬£¬£¬Í¬Ê±¼Í¼´¢Æø¹ÞÖÐÆøÌåµÄѹÁ¦P1ζÈT1£¬£¬£¬£¬£¬£¬£¬£¬µ±´¢Æø¹ÞÆøÌåµÖ´ï²âÊÔѹÁ¦P2ʱ£¬£¬£¬£¬£¬£¬£¬£¬Á¬Ã¦×èÖ¹Ãë±íºÍ¿ÕÆøÑ¹Ëõ»ú£¬£¬£¬£¬£¬£¬£¬£¬²¢Ñ¸ËÙ¼ÇÏÂѹÁ¦ÓÉP1ÉýÖÁP2εÄʱ¼ät¡£¡£¡£¡£¡£¡£¡£¡£
2.4¿ÕÆøÑ¹Ëõ»úÈÝ»ýÁ÷Á¿µÄÅÌËãÒªÁìÈçÏ£º
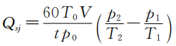
a£©ÏÖʵÈÝ»ýÁ÷Á¿Qsj:
.............................£¨1£©
ʽÖУº
QSJ¡ª¡ªÏÖʵÈÝ»ýÁ÷Á¿£¨m3/min£©£»£»£»£»£»£»
V ¡ª¡ª´¢Æø¹ÞÈÝ»ý£¨°üÀ¨Õ¢ÃÅ3ÒÔǰÅÅÆø¹ÜÄÚµÄÈÝ»ý£©£¨m3£©£»£»£»£»£»£»
p1¡¢T1 ¡ª¡ª²âÊÔ×îÏÈʱ£¬£¬£¬£¬£¬£¬£¬£¬·ç°üÄڵľø¶ÔѹÁ¦£¨Pa£©ºÍ¾ø¶Ôζȣ¨K£©£»£»£»£»£»£»
P2¡¢T2¡ª¡ª²âÊÔ¿¢ÊÂʱ£¬£¬£¬£¬£¬£¬£¬£¬·ç°üÄڵľø¶ÔѹÁ¦£¨Pa£©ºÍ¾ø¶Ôζȣ¨K£©£»£»£»£»£»£»
P0¡¢T0¡ª¡ª¿ÕÆøÑ¹Ëõ»úÎüÆø×´Ì¬ÏÂ¿ÕÆøµÄѹÁ¦£¨Pa£©ºÍ¾ø¶Ôζȣ¨K£©£»£»£»£»£»£»
t¡ª¡ª²âÊÔ×îÏȵ½²âÊÔ¿¢ÊÂʱµÄ³äÆøÊ±¼ä£¨s£©¡£¡£¡£¡£¡£¡£¡£¡£
b£©±ê׼״̬ϵÄÈÝ»ýÁ÷Á¿Q£º
........................................£¨2£©
ʽÖУº
T20 ¡ª¡ª±ê׼״̬ϵľø¶Ôζȣ¬£¬£¬£¬£¬£¬£¬£¬T20=293K£»£»£»£»£»£»
p ¡ª¡ª±ê×¼´óÆøÑ¹,p = 1.0133¡Á105 Pa£»£»£»£»£»£»
p0¡¢T0 ¡ª¡ª¿ÕÆøÑ¹Ëõ»úÎüÆø×´Ì¬ÏÂ¿ÕÆøµÄѹÁ¦£¨Pa£©ºÍ¾ø¶Ôζȣ¨K£©¡£¡£¡£¡£¡£¡£¡£¡£
3¡¢Á÷Á¿·¨ÕÉÁ¿¿ÕÆøÑ¹Ëõ»úµÄÈÝ»ýÁ÷Á¿
3.1 Á÷Á¿·¨Ä¥Á·µÄÌõ¼þ
½ÓÄÉÁ÷Á¿·¨ÕÉÁ¿¿ÕÆøÑ¹Ëõ»úµÄÈÝ»ýÁ÷Á¿Ê±£¬£¬£¬£¬£¬£¬£¬£¬Ó¦ÇкÏÏÂÁÐÌõ¼þ£º
a£©±»¼ì²âµÄ¿ÕÆøÑ¹Ëõ»úµÄ¸÷ÃÜ·â´¦Ó¦ÎÞ×ß©£»£»£»£»£»£»
b£©µ÷½âѹÁ¦µ÷ÀíÆ÷£¬£¬£¬£¬£¬£¬£¬£¬½«¿ÕÆøÑ¹Ëõ»úÄ©¼¶µÄÅÅÆøÑ¹Á¦µ÷½âµ½¶î¶¨Öµ£¬£¬£¬£¬£¬£¬£¬£¬ÔÙ²âÊԶ¹¤¿öϵÄÓйØÊý¾Ý£»£»£»£»£»£»
c£©¹ÜµÀÖ±¾¶ÓëÕÉÁ¿´«¸ÐÆ÷Ö±¾¶Ö®±È²»Ð¡ÓÚ10;
d£©ÕÉÁ¿µãλÖÃӦѡÔÚÀë½øÆø¿Ú 5±¶¹Ü¾¶ÒÔÉϵÄÖ±Ï߶Σ»£»£»£»£»£»
e£©ÕÉÁ¿´«¸ÐÆ÷²åÈëÉî¶ÈԼΪ2/3°ë¾¶¾ÙÐÐÕÉÁ¿£»£»£»£»£»£»
f£©ÕÉÁ¿ÒÇÆ÷µÄ׼ȷ¶ÈÓ¦µÖ´ïÏÂÁÐÒªÇó£º
¡ª¡ª·çËÙ²»ÁÓÓÚ¡À2.5% £»£»£»£»£»£»
¡ª¡ªÎ¶Ȳ»ÁÓÓÚ¡À1¡æ £»£»£»£»£»£»
¡ª¡ªÑ¹Á¦½ÓÄɲ»ÁÓÓÚÊ¿2.5%µÄÒºÌåѹÁ¦¼ÆÀàÕÉÁ¿ÒÇÆ÷»ò²»ÁÓÓÚ3%µÄÆäËûרÓÃÒÇÆ÷
¡ª¡ª³¤¶ÈÕÉÁ¿Óþ߲»ÁÓÓÚ¡À1mm¡£¡£¡£¡£¡£¡£¡£¡£
g£©Ä¥Á·Ê±£¬£¬£¬£¬£¬£¬£¬£¬Ó¦Í¬Ê±¼Í¼ÏÂÁвÎÊý£º
¡ª¡ª¿ÕÆøÑ¹Ëõ»ú½øÆøÕÉÁ¿µã¹ÜµÀÄڵķçËÙ¡¢Î¶ȺÍѹÁ¦²ÎÊý£»£»£»£»£»£»
¡ª¡ª»îÈûʽ¿ÕÆøÑ¹Ëõ»úתËÙ£»£»£»£»£»£»
¡ª¡ª¿ÕÆøÑ¹Ëõ»úÈë¿Úζȡ¢Ñ¹Á¦¡£¡£¡£¡£¡£¡£¡£¡£
3.2 ÏÖʵÈÝ»ýÁ÷Á¿Qsj
ÏÖʵÈÝ»ýÁ÷Á¿Ó¦Æ¾Ö¤ÏÂÁÐÒªÁìÕÉÁ¿£º
a£©Ó¦ÖÁÉÙÕÉÁ¿6´Î£¬£¬£¬£¬£¬£¬£¬£¬Æäƽ¾ùÖµ×÷ΪÏÖʵ·çËÙcµÄÄ¥Á·Ð§¹û£»£»£»£»£»£»
b£©ÏÖʵÈÝ»ýÁ÷Á¿°´Ê½£¨3£©ÅÌË㣺
¡¤¡¤¡¤¡¤¡¤¡¤¡¤¡¤¡¤¡¤¡¤¡¤¡¤¡¤¡¤¡¤¡¤¡¤¡¤¡¤¡¤¡¤¡¤¡¤¡¤¡¤¡¤¡¤¡¤¡¤¡¤£¨3£©
ʽÖУº
QSJ£¨ ÏÖʵÈÝ»ýÁ÷Á¿£¨m3/min£©;
d ¡ª¡ªÕÉÁ¿Î»ÖùܵÀÄÚ¾¶£¨m£©£»£»£»£»£»£»
c ¡ª¡ªÕÉÁ¿»ñµÃµÄÏÖʵ·çËÙ£¨m/s£©¡£¡£¡£¡£¡£¡£¡£¡£
c£©±ê׼״̬ϵÄÈÝ»ýÁ÷Á¿Q£º
±ê׼״̬ϵÄÈÝ»ýÁ÷Á¿Q°´Ê½£¨4£©ÅÌË㣺
¡¤¡¤¡¤¡¤¡¤¡¤¡¤¡¤¡¤¡¤¡¤¡¤¡¤¡¤¡¤¡¤¡¤¡¤¡¤¡¤¡¤¡¤¡¤¡¤¡¤¡¤¡¤¡¤¡¤¡¤¡¤¡¤¡¤£¨4£©
ʽÖУº
Q¡ª¡ª±ê׼״̬ϵÄÈÝ»ýÁ÷Á¿£¨m3/min£©;
P0¡ª¡ªÕÉÁ¿Î»ÖõĽøÆøÑ¹Á¦£¨Pa£©;
T20¡ª¡ª±ê׼״̬ϵľø¶ÔζÈ,T20 =293 K£»£»£»£»£»£»
p¡ª¡ª±ê×¼´óÆøÑ¹,p = 1.0133¡Á105Pa £»£»£»£»£»£»
T0¡ª¡ª½øÓîÁ¿ÕÉÁ¿Î»Öõľø¶Ôζȣ¨K£©£»£»£»£»£»£»
Qsj¡ª¡ªÏÖʵÈÝ»ýÁ÷Á¿£¨m3/min£©¡£¡£¡£¡£¡£¡£¡£¡£
5.12 ÊäÈë±È¹¦ÂÊ
1¡¢¿ÕÆøÑ¹Ëõ»úµÄÊäÈ빦ÂÊÓ¦½ÓÄÉÕÉÁ¿ÏµÍ³×¼È·¶È²»ÁÓÓÚ¡À2%µÄÒÇÆ÷Ä¥Á·¡£¡£¡£¡£¡£¡£¡£¡£
2¡¢Ó¦ÔÚ¿ÕÆøÑ¹Ëõ»úÔËתƽÎÈʱ¾ÙÐÐÄ¥Á·£¬£¬£¬£¬£¬£¬£¬£¬²¢Ó¦¿¿½ü¿ÕÆøÑ¹Ëõ»úµÄÊäÈë¶Ë¾ÙÐÐÄ¥Á·¡£¡£¡£¡£¡£¡£¡£¡£
3¡¢ÔÚÄ¥Á·Ê±£¬£¬£¬£¬£¬£¬£¬£¬Ó¦ÒÔÏàµÈµÄʱ¼ä¾àÀë¼Í¼²»ÉÙÓÚ3×飨´Î£©ÕÉÁ¿Öµ£¬£¬£¬£¬£¬£¬£¬£¬ÅÌËãÆäƽ¾ùÊäÈ빦ÂÊ×÷ΪĥÁ·Ð§¹û¡£¡£¡£¡£¡£¡£¡£¡£
4¡¢°´Ê½£¨5£©ÅÌËãÊäÈë±È¹¦ÂÊ+£º
¡¤¡¤¡¤¡¤¡¤¡¤¡¤¡¤¡¤¡¤¡¤¡¤¡¤¡¤¡¤¡¤¡¤¡¤¡¤¡¤¡¤¡¤¡¤¡¤¡¤¡¤¡¤¡¤¡¤¡¤¡¤¡¤¡¤¡¤¡¤¡¤¡¤¡¤¡¤¡¤¡¤¡¤¡¤¡¤¡¤¡¤¡¤¡¤¡¤¡¤¡¤¡¤¡¤¡¤¡¤¡¤¡¤¡¤¡¤¡¤¡¤¡¤¡¤¡¤¡¤£¨ 5£©
ʽÖУº
q ¡ª¡ªÊäÈë±È¹¦ÂÊ£ÛkW/£¨m3/min£©£Ý£»£»£»£»£»£»
P ¡ª¡ª¿ÕÆøÑ¹Ëõ»ú×éµÄÊäÈ빦ÂÊ£¨kW£©£»£»£»£»£»£»
Q ¡ª¡ª¿ÕÆøÑ¹Ëõ»úÏÖʵÈÝ»ýÁ÷Á¿£¨m3/min£©¡£¡£¡£¡£¡£¡£¡£¡£
5.13ÊäÈëµçÁ÷
1¡¢ÕÉÁ¿ÒÇÆ÷µÄ׼ȷ¶ÈÓ¦²»ÁÓÓÚÊ¿2% #
2¡¢Ó¦¿¿½üµçÄîÍ·Åäµç×°ÖõĽøÏß´¦¾ÙÐÐÕÉÁ¿#
3¡¢ÔÚÄ¥Á·Ê±£¬£¬£¬£¬£¬£¬£¬£¬Ó¦ÒÔÏàµÈµÄʱ¼ä¾àÀë¼Í¼²»ÉÙÓÚ3´ÎÕÉÁ¿Öµ£¬£¬£¬£¬£¬£¬£¬£¬ÅÌËãÆäƽ¾ùÊäÈëµçÁ÷Öµ×÷ΪĥÁ·Ð§¹û¡£¡£¡£¡£¡£¡£¡£¡£
6 ÅжϹæÔò
1¡¢Ä¥Á·ºÍÅжϻú¹¹
Ó¦Óɾ߱¸¹ú¼Ò»®¶¨×ÊÖÊÌõ¼þµÄ¼ì²âÄ¥Á·»ú¹¹¾ÙÐÐÄ¥Á·ºÍÅжϡ£¡£¡£¡£¡£¡£¡£¡£
2¡¢×ÛºÏÅжÏÔÔò
2.1Ä¥Á·ÏîÄ¿·ÖΪAÀàÏîÄ¿£¨Òªº¦Ï¡¢BÀàÏîÄ¿£¨Ö÷ÒªÏºÍCÀàÏîÄ¿£¨Ò»Ñùƽ³£Ï3ÖÖÀàÐÍ£¬£¬£¬£¬£¬£¬£¬£¬Ïêϸ»®·Ö¼ûÏîÄ¿±í1¡£¡£¡£¡£¡£¡£¡£¡£
2.2·ºÆðÒÔÏÂÇéÐÎ֮һʱ£¬£¬£¬£¬£¬£¬£¬£¬Ä¥Á·½áÂÛ×ÛºÏÅжÏΪȱ·¦¸ñ£º
AÀàÏîÄ¿ÖУ¬£¬£¬£¬£¬£¬£¬£¬·ºÆð1Ïî»ò1ÏîÒÔÉÏȱ·¦¸ñ£»£»£»£»£»£»
BÀàÏîÄ¿ÖУ¬£¬£¬£¬£¬£¬£¬£¬·ºÆð4Ïî»ò4ÏîÒÔÉÏȱ·¦¸ñ£»£»£»£»£»£»
CÀàÏîÄ¿ÖУ¬£¬£¬£¬£¬£¬£¬£¬·ºÆð7Ïî»ò7ÏîÒÔÉÏȱ·¦¸ñ£»£»£»£»£»£»
BÀàÏîÄ¿ºÍCÀàÏîÄ¿µÄȱ·¦¸ñÏîÊýÖ®ºÍ´óÓÚ»ò¼´ÊÇ7Ïî¡£¡£¡£¡£¡£¡£¡£¡£
7 ±à·¢±¨¸æ
7.1 ±àд±¨¸æÓ¦³Ö¿Í¹Û¡¢¹«Õý¡¢ÊµÊÂÇóÊǵÄÔÔò¡£¡£¡£¡£¡£¡£¡£¡£
7.2 ±¨¸æµÄÄÚÈÝ
7.2.1 Ä¥Á·±¨¸æµÄÄÚÈݰüÀ¨¾ÙÐмì²âµÄËùÔÚ¡¢ÒÇÆ÷״̬¡¢¼ì²âÒÀ¾Ý¡¢Æ¾Ö¤¼ì²âÊý¾Ý¶øµÃ³öµÄÄ¥Á·½áÂÛ¡£¡£¡£¡£¡£¡£¡£¡£
7.2.2 °´±ê×¼¼ì²â¼°¸ñµÄÒÇÆ÷£¬£¬£¬£¬£¬£¬£¬£¬·¢¸øÄ¥Á·±¨¸æ£»£»£»£»£»£»È±·¦¸ñµÄÒÇÆ÷·¢¸ø¼ì²âЧ¹û£¬£¬£¬£¬£¬£¬£¬£¬²¢×¢Ã÷ȱ·¦¸ñÏîÄ¿¡£¡£¡£¡£¡£¡£¡£¡£
7.3 Ä¥Á·±¨¸æ°´±¾¹«Ë¾¡¶Ð§¹û±¨¸æÖÎÀí³ÌÐò¡·Åú×¼¡¢¹éµµ¡¢Ç©Õ¡¢·¢³ö£»£»£»£»£»£»ÌØÊâ×¢ÖØ±¨¸æµÄÅú×¼±ØÐèÓÉÏà¹ØÁìÓòµÄÊÚȨǩ×ÖÈËÇ©×Ö¡£¡£¡£¡£¡£¡£¡£¡£
8 ×¢ÖØÊÂÏî
8.1 Ä¥Á·±¨¸æµÄÌåÀýÈ˺;ÙÐмì²âµÄÖ°Ô±²»¿ÉÓÉͳһÈ˵£µ±¡£¡£¡£¡£¡£¡£¡£¡£
8.2 ±¾¹«Ë¾²»¿ÉÔÚÄ¥Á·±¨¸æÖзºÆð×ÊÖʹæÄ£ÍâµÄÏîÄ¿¡¢²ÎÊý¡£¡£¡£¡£¡£¡£¡£¡£
9 ¼Í¼
9.1 ¡¶¼ì²âÄ¥Á·Î¯ÍÐÌõÔ¼Êé¡·
9.2 ¡¶¿óɽÔÚÓÃÀο¿Ê½¿ÕÆøÑ¹Ëõ»ú¼ì²âÔʼ¼Í¼¡·
9.3 ¡¶Ä¥Á·±¨¸æ·¢·Å¹ÒºÅ±í¡·
9.4 ¡¶Ä¥Á·±¨¸æ¡·
|